«
Fondo
El deterioro cognitivo es una característica central de la enfermedad de Huntington (EH), pero no está claro en qué medida existen fenotipos cognitivos más agresivos en la EH entre individuos con la misma carga genética y equivalencia en otras variables clínicas y sociodemográficas.
Métodos
Incluimos participantes del estudio Enroll-HD en etapas tempranas y medias de la EH al inicio del estudio y con tres seguimientos anuales consecutivos para quienes se registraron varias medidas clínicas y sociodemográficas, así como cognitivas. Excluimos a los participantes con CAG bajo y grande (CAG < 39 y > 55), HD juvenil o de inicio tardío y con demencia al inicio del estudio. Exploramos la existencia de diferentes grupos según el perfil de progresión cognitiva utilizando un modelo de análisis de conglomerados de k-medias de dos pasos basado en la combinación de diferentes resultados cognitivos.
Resultados
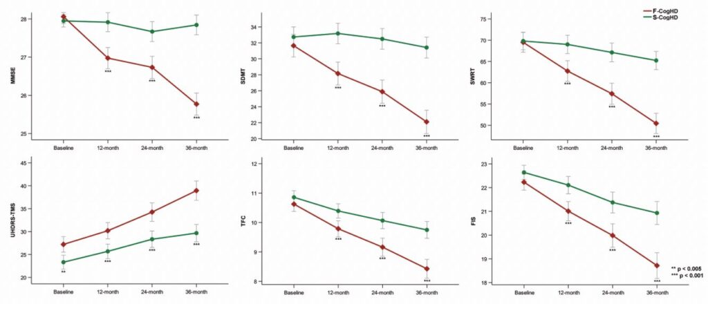
Identificamos un grupo de progresión cognitiva lenta de 293 participantes (S-CogHD) y un grupo de progresión agresiva (F-CogHD) de 235 para los cuales no hubo diferencias en la visita inicial en ninguna de las medidas exploradas, con la excepción de una ligera puntuación motora más alta en el grupo F-CogHD. Este grupo mostró una pérdida anual de funcionalidad más pronunciada y un deterioro motor y psiquiátrico más marcado.
Conclusiones
La tasa de progresión del deterioro cognitivo en la EH es muy variable, incluso entre pacientes que comparten, entre otras variables, longitud equivalente de repeticiones CAG, edad y duración de la enfermedad. Podemos reconocer al menos dos fenotipos que difieren en cuanto a la tasa de progresión. Nuestros hallazgos abren nuevas vías para estudiar mecanismos adicionales que contribuyen a la heterogeneidad de la EH. «

0 comentarios